Mpumalanga Province Freight Data Bank > Authorities > Department
Close

Not a member yet? Register now and get started.

lock and key

Sign in to your account.

Account Login

Forgot your password?

Rail Cross Border Aviation Industries Pipelines Rail Industries Road Roads Trains Electricity Power Station Middleburg Rail Station
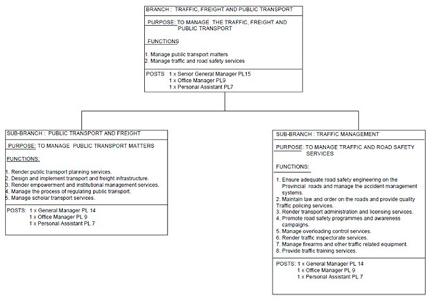
Organisational Structure Of The Department
Organisational Structure Of The Department

Department of Public Works, Roads and Transport Organisational Structure Of The Department

Organisational Structure Of The Freight Branch - Level 1

Department of Public Works, Roads and Transport Organisational Structure Of The Freight Branch - Level 1

Organisational Structure Of The Freight Branch - Level 2

Department of Public Works, Roads and Transport Organisational Structure Of The Freight Branch - Level 2

National Road Traffic Act, 1996

In terms of the National Road Traffic Act, the goods that may not be transported without a permit are set out in the SABS list of dangerous goods. The provincial government has the authority to award permits for the transportation of dangerous good and thus any operator wishing to transport any substance on the list of the SABS shall apply for a permit to the provincial government.

The provincial authorities determine in accordance with the act whether the goods are being transported according to regulations. Once all regulations have been complied with the provincial authorities set out the best route for the load and the operator must make use of this route. In general the provisions and regulations of the act are thorough; the act will ensure a reasonable level of safety for all road users with regard to the transportation of any dangerous goods or substances.

National Freight and Logistics Strategy

The NFLS recognises the problems on national level, which in turn are very relevant for Mpumalanga and the NDM in general. The strategy identifies the problem being created by overloaded and excessive heavy vehicle traffic along secondary routes. It envisages the solution to being a better and more competitive rail system to relieve the burden from the road network. It also envisages a freight system master plan that will enable freight carriers and government to predict system capacity and supply, thus anticipating bottlenecks and problem areas in advance.

The NFLS however does not have any specific responses to the problem of major overloading and the deterioration of roads, especially those that are not able to handle heavy vehicles. From the perspective of the NDM this is a major shortfall of this strategy since it does not specifically address Nkangala’s biggest problem.

White Paper on National Transport Policy

The white paper addresses the problem of poor law enforcement especially with regard to road based freight. This document emphasizes a future equity between road and rail transport methods as a solution to current problems with freight transport systems. The white paper does however not address the other specific issues that are prevalent in Nkangala.

This is a broad scale national strategic document and the emphasis can not be expected to be on provincial and district issues.

National Land Transport Strategic Framework

This document motivates the development and use of the National Freight and Logistics Strategy. It mentions the main issues concerning freight as well as what the outcomes of solutions to these problems should be.

NDM Integrated Development Plan 2009/10

The IDP identifies the major issues with regard to the freight system, it indicates the problems as well as the causes. It does however have one severe shortfall it does not propose any projects with the goal of solving these issues apart from the annual review of the ITP. The review of the ITP is necessary to identify further problems with the freight system but the fact of the matter is that some of these problems that have already been identified in the IDP could already have been in the process of being solved.

Provincial Land Transport Framework

The PLTF identifies the problem of overloading as well as that of heavy vehicles using the roads that are not designed to be used by heavy vehicles, this framework continues to suggest solutions in the form of further strategies and policies.

This document does indeed cover the basics but does not go into detail about how the identified problems should be solved.

Mpumalanga Overload Control Strategy

This Overload Control Strategy sufficiently identifies the issue of overloading within the province, it further states that traditional approaches to overload control have not been successful and that these approaches wil continue to be insufficient. Rather than only the traditional approach this strategy proposes an aggressive response to overloading making use of an area intensive clampdown on overloaded vehicles. This seems to be the only strategy that has a proactive response to the specific problems it identifies.

Moving South Africa Action Agenda

This national policy includes various findings with regards to the freight network and its problems. It proposes very strategic level responses to national problems which can be adopted for smaller areas which face the same problems.

The NDM encounters much of the same issues as does the country as a whole and as such the NDM should effectively take note of these strategic focuses and aspire to achieve these goals.

Assessment of Freight Routes

NDM has various routes used for freight transporting purposes, in actual fact almost all provincial and national roads that run through the Nkangala area has been identified as being used by heavy vehicles. This is also evident when looking at the current road conditions.

These routes are in most cases not suitable for carrying heavy loads and as such they deteriorate very quickly. Apart from the obvious fact that deteriorated roads which are in a generally poor condition are very unsafe for all users, these routes are in many instances the only access routes to small towns, settlements and farms and thus the inhabitants of these areas have no other choice than to make use of these roads for access to their homes. This in actual fact is the main purpose of the smaller provincial roads, apart from safety issues it is extremely unfair to expect local residents to have to use roads that have been in some places almost completely destroyed by heavy vehicles.

Freight generating land uses are to a large extent located in close proximity to the freight carrying national routes. Those that are not within such close proximity (eg. Coal mines) have to make use of smaller provincial and local routes. This cannot possibly be the case for the majority of freight operators that make use of smaller roads. As was mentioned above these operators purposely do not make use of the national roads in order to avoid toll fees and being weighed. These operators thus deliberately destroy infrastructure and endanger people’s lives in order to save relatively small amounts of time and money.

Unfortunately there is no real way of determining exact routes for certain origins, destinations and commodities; it can only be assumed that the shortest or fastest route will be taken. The problem as shown above is that freight operators deliberately try and avoid law enforcement; this means that they will generally not make their routes known.

HAZMAT & IMS

The transportation of Hazardous Material is a highly regulated matter and according to the National Road Traffic Act of 1996 the transportation of HAZMAT can only take place with a permit awarded by the Provincial Government. In Mpumalanga the Traffic Safety Office is responsible for this function.

This permit system is necessary to determine when and what type of hazardous materials are on the roads in Mpumalanga and Nkangala. According to the Mpumalanga Traffic Safety Offices these permits do not include a specific route of travel for HAZMAT transportation.

This is problematic in the sense that the authorities are aware of when and what types of materials are being transported but not where they are being transported to which makes it extremely dangerous for the general public should an incident occur. It further makes it very difficult to have to manage HAZMAT incidents, no detours or alternative routes can be identified in advance, every responsive measure has to be made when a incident occurs. This is very inefficient and has the potential to endanger many lives that would not necessarily be endangered if a detailed Incident Management System existed for handling HAZMAT incidents.

IMS systems in Nkangala are limited. The only formalised IMS which takes the form of a strategic document is that of TRAC the N4 concessionaire. This system focuses on incident response for all incidents along the N4. It basically entails response units, incident management procedures, safety aspects at the scene of an incident and alternative routes should road closure be necessary. The remainder of roads in the NDM rely on basic emergency service responses for incidents that occur along these roads.

Neither the TRAC N4 IMS nor the NDM has any form of IMS specifically for HAZMAT incidents. This is a major concern and should be dealt with immediately.

Institutional Assessment

The institutional capacity of the NDM is a key factor when it comes to the Freight Strategy for the area. There are two major shortcomings in terms of institutional arrangements regarding the freight transport system.

Funding is a major problem within Nkangala as in terms of the roads infrastructure it would seem according to the NDM budget summary that the distribution of these funds is skewed. The NDM budget summary indicates that the total amount set out for roads and stormwater in Nkangala is approximately R49 million the budget then allocates in excess of R20 million to the Thembisile Municipality and a very low R214 thousand and R950 thousand to the Emakhazeni and Emalahleni Municipalities respectively. This is concerning from a freight transport point of view since the Emalahleni area is worst affected by coal transport vehicles. Repairs to current road infrastructure in this area alone will run into millions of rands.

Contrary to this the Thembisile area is relatively lightly affected by heavy vehicles, meaning that in terms of funding for repairs and upgrading of road infrastructure for freight transport purposes the area requires much less funds than some of the other worse affected municipalities.

It should be kept in mind that the budget includes provisions for new roads and other upgrades not pertaining to freight transport, meaning that the current fund allocation is probably intended for other projects, not investigated in this chapter. The problem however is that no matter how funds are allocated it definitely does not make provision for freight specific allocations.

Law Enforcement

There is an evident shortfall when it comes to the enforcement of overloading activities. Freight operators are deliberately overloading and following routes not intended for them, meaning that there is probably an unbalanced presence of law enforcement officers. As long as freight vehicles are able to avoid law enforcement procedures there is a serious lack regarding law enforcement.

Whether the problem emanates from a lack of funds, officers, training or persistence regarding overloading is uncertain, and the exact cause will have to be determined in order to effectively limit overloading in future.

What can however be kept in mind is that the Mpumalanga Overload Control Strategy is in place and it is a thorough document. If the NDM adheres to the strategies as set out in this document overloading should be kept to very low and acceptable levels.

Once the above institutional issues have been addressed this freight strategy will become effective and start to rectify the current freight problems in the NDM.

Freight Transport Strategies

Identifying problems in the field of freight transport in the NDM forms the basis of developing strategies and freight transport proposals. The main Issues identified are the following:

  • Overloading, resulting in serious deterioration of roadways, see image below.
  • Insufficient route control, resulting in heavy vehicles travelling along routes that are not designed to accommodate such vehicles.
  • Poorly maintained railway infrastructure that is inefficient, resulting in less freight being transported by rail and more freight added to the already under pressure road infrastructure.
  • No NDM IMS exists and specifically no HAZMAT specific IMS or specific HAZMAT routes exist.

The contributing factors that result in the above mentioned problems are a lack of effectively functioning overload control facilities and a further issue regarding the limited amount of these facilities along with the toll gates that act as a driving force for heavy vehicle traffic to move their operations onto the provincial and local roads that are not equipped for them.

The main problem lies with the fact that the majority of overloaded vehicles are definitely not being weighed, because of the fact that they are able to anticipate whether they will be weighed or not, according to the routes followed.